Discutii libere/forum

Masina de paine

ATENTIE: topicurile care nu isi au locul aici sunt sterse sau inchise fara avertizare, iar userii care continua sa greseasca risca suspendarea contului !

Moderator: Automatistul

Re: Masina de paine

Mesajde shine » 23 Mar 2011, 23:22

se ia o jumatate de kil de faina integrala macinata la tara, se adauga 200 ml apa, 100 ml lapte dulce, o lingurita sare, o lingurita ulei de masline, o nuca de drojdie proaspata dizolvata in lichidele mai sus amintite si o lingurita otet mere.
Se franta frumos (pac-pac, puteti ameste si cu lingura, nu e obligatoriu sa va murdariti). se lasa 1 h la dospit, apoi 55-65 minute la cuptorul incins la 160-180 grade C. si sa vedeti voi ce paine iese...mmmm...
Avatar utilizator
shine
Membru reincarnat
 
Mesaje: 3383
Membru din: 28 Ian 2008, 16:18
Localitate: Bucuresti
Maşina: Ford Fusion 2004, 1.6 / 100 CP + Ford Focus 2012 1.0 / 125 CP
VIN: EuPreferDemisecul

Re: Masina de paine

Mesajde Nic_Bv » 24 Mar 2011, 08:54

@shine: prea multa bataie de cap pentru un lucru pe care utilajele il fac cel putin la fel de bine.

Secretul in reteta ta este faina integrala, macinata la tara. Nu se compara cu nimic ambalat de pe piata, nici macar cu produsele bio.
Ford C-Max Ghia 2008, 1.6 TDCi 110 CP.
Blog personal: Îmblânzitorul de fantasme

"Cred cu fermitate că există o singură formă de educație, autoeducația" - Isaac Asimov
Avatar utilizator
Nic_Bv
1nsane Member
 
Mesaje: 1675
Membru din: 11 Sep 2007, 22:53
Localitate: Braşov
VIN: WF0EXXGCDE8Y55186

Re: Masina de paine

Mesajde sanderoalex » 24 Mar 2011, 21:00

adevarul e ca in cuptor iese mai buna decat in masina,dar oricum o prefer pe cea facuta de mine celei din comert.(sincer,cateodata mi se mai lasa la o paine calda!).
"În dictatură, cineva te foloseşte cum vrea. În democraţie, ai dreptul să-l alegi pe cel care o să te f... aşa cum vrea el."
Imagine
Avatar utilizator
sanderoalex
Gold Member
 
Mesaje: 582
Membru din: 29 Iun 2009, 17:53
Maşina: FORD FOCUS 2 facelift 1.6i 100hp 5DR

Re: Masina de paine

Mesajde adicristea » 27 Mar 2011, 13:26

Intrebare pt bibi si pt cei care au aceeasi masina ca noi: nu vine cu nici un fel de manual de instructiuni? Ca de abia azi a desfacut-o maica-mea si nu are nici o instructiune, ce fac butoanele alea, nimic. Noroc cu discutia de aici ca am putut sa-i dau niste sfaturi.
\\\ Cumpara "romaneste"! Salveaza-ti slujba! ///
Nu fi zmeu, s-ar putea sa zbori!
Nemulţumirile oamenilor nu vin din ceea ce li se întâmplă, ci din diferenţa dintre ceea ce li se întâmplă şi aşteptările lor. ™Ciugu®
Imagine
Avatar utilizator
adicristea
 
Mesaje: 6108
Membru din: 18 Ian 2008, 13:01
Localitate: Reading, UK
Maşina: Citroen C4 Picasso 1.6 eHDI
VIN: 00000000000000000

Re: Masina de paine

Mesajde Mondy man » 27 Mar 2011, 14:38

Am de vreo 8 luni de zile masina asta http://www.philips.ro/c/prajire-si-de-a ... 40_90/prd/ si sunt FOARTE multumit de ea.
Nu se compara cu ce prostii sunt in comert; recomand si eu sa cumparati faina de la o moara.
Pofta buna!
Fişiere ataşate
Untitled.jpg
Nu fura !!! Guvernul nu tolereaza concurenta.
Avatar utilizator
Mondy man
Gold Member
 
Mesaje: 790
Membru din: 18 Oct 2006, 21:13
Maşina: Toyota PRIUS / BMW 525d

Re: Masina de paine

Mesajde Mihai L » 27 Mar 2011, 15:27

$1 scrie:$2ntrebare pt bibi si pt cei care au aceeasi masina ca noi: nu vine cu nici un fel de manual de instructiuni? Ca de abia azi a desfacut-o maica-mea si nu are nici o instructiune, ce fac butoanele alea, nimic. Noroc cu discutia de aici ca am putut sa-i dau niste sfaturi.

Cauta-le pentru ca sunt foarte importante! In general fiecare masina are retetele ei (depinde foarte mult de timpii si temperaturile setate de producator).
Focus. Ford Focus. Sea Grey.
2006 Ford Focus Wagon TDCi, 1.6/109 CP
Imagine
Imagine
My pictures on Flikr
Avatar utilizator
Mihai L
 
Mesaje: 10794
Membru din: 25 Apr 2006, 17:53
Localitate: Bucuresti
Maşina: Ford Focus Wagon Trend CL 2006, 1.6l/109CP, Sea Grey

Re: Masina de paine

Mesajde DON GYOVANY » 27 Mar 2011, 17:50

$1 scrie:$2u vreau sa folosesc drojdie uscata pentru ca are un E. Nu mai tin minte ce E.
Deja sunt expert in drojdie umeda. Adica pot sa aproximez destul de ok cata imi trebuie.


Pai bine mai bibi,pai tu te mai uiti la un amarat de E,cand toate sunt pline de E.. :))
Si cartea recomanda drojdia uscata traditional,nu pe cea proaspata.
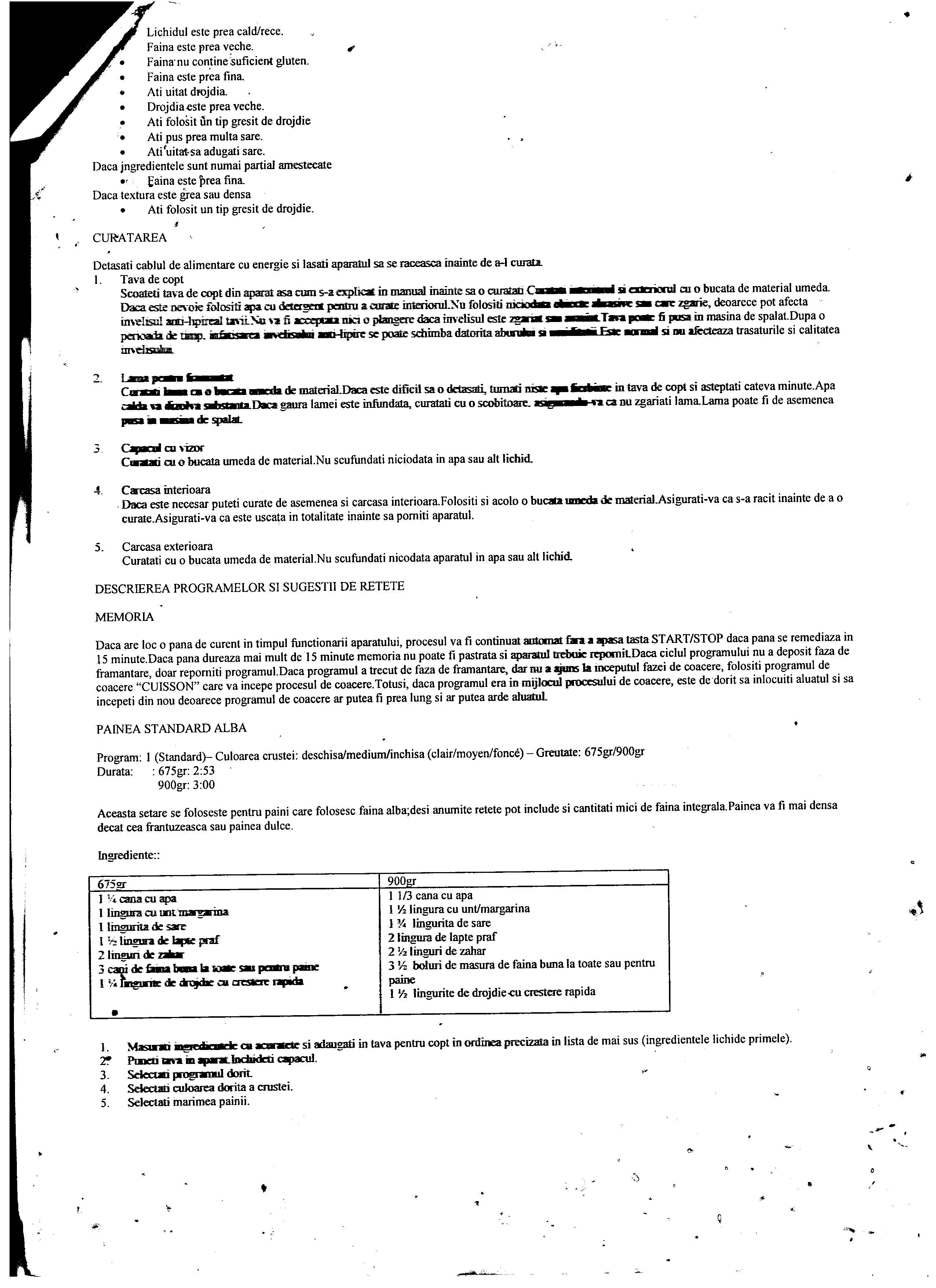
Drojdia,sare,zahar,lapte...GIF

Si uite si una din retetele de paine la masina TEAM...si care nu cred ca e diferita de a ta.Jos in loc de drojdie rapida,eu pun uscata pakmaya.
Ideea e ca tre sa pui ingredientele exact in ordinea din reteta,si masurate la fix.Faina am folosit si de la somaj,si din comert ungureasca dar cel mai mult de la o moara,am pe unu de aduce de acolo,si cand nu era prea buna faina iesea mai mica painea,dar tot timpul se cocea la mijloc.
Reteta paine standard.GIF

Aici in carte mai scrie ca tre sa tii cont de altitudine...dar eu nu am tinut cont de asa ceva,desi poate ca ar trebui :D
Altitudinea.GIF

Sa auzim de bine.
Vorba nashului meu: de la fiecare "om" inveti cate ceva.
Instalator sanitar,montez centrale termice,cazane pe lemne si carbune,aparate aer conditionat,panouri solare e.t.c.
http://forum.clubford.ro/viewtopic.php?f=17&t=38239
Avatar utilizator
DON GYOVANY
Member
 
Mesaje: 489
Membru din: 13 Feb 2009, 23:26
Localitate: CRAIOVA
Maşina: Ford Scorpio, 1986, 2.0i OHC-EFI, 85kw/115 cp & BMW 330xd,184 hp!
VIN: WF0AXXGAGAGU01536

Re: Masina de paine

Mesajde mariusm » 27 Mar 2011, 18:50

de vreo doi ani folosesc o masina moulinex si.... ce grozav miroase-n casa:)
am folosit inclusiv faina de la moara.
The owls are not what they seem...
Cadouri pentru fete... http://sheepshine.blogspot.com/
Avatar utilizator
mariusm
1nsane Member
 
Mesaje: 1095
Membru din: 15 Oct 2007, 23:50
Localitate: Calarasi
Maşina: Ford Focus Combi Futura 2002 90CP TDDI Polar Silver Metalic

Re: Masina de paine

Mesajde adicristea » 27 Mar 2011, 21:42

$1 scrie:$2
$1 scrie:$2Cauta-le pentru ca sunt foarte importante! In general fiecare masina are retetele ei (depinde foarte mult de timpii si temperaturile setate de producator).


Asa am zis si eu, dar se pare ca nu au fost livrate. Am facut o reclamatie online, o sa ii si sun maine.
\\\ Cumpara "romaneste"! Salveaza-ti slujba! ///
Nu fi zmeu, s-ar putea sa zbori!
Nemulţumirile oamenilor nu vin din ceea ce li se întâmplă, ci din diferenţa dintre ceea ce li se întâmplă şi aşteptările lor. ™Ciugu®
Imagine
Avatar utilizator
adicristea
 
Mesaje: 6108
Membru din: 18 Ian 2008, 13:01
Localitate: Reading, UK
Maşina: Citroen C4 Picasso 1.6 eHDI
VIN: 00000000000000000

Re: Masina de paine

Mesajde DON GYOVANY » 28 Mar 2011, 00:11

Nene adi asa am patit si eu cand am luato de la real,nu avea carticica cu retetele,si m-am dus cu bonul si factura peste ei,si mi-au spus sa vin a doua zi ca atunci imi pot face rost de carte,si abia a doua zi am intrat in posesia cartii cu instructiunile si retetele.Asa ca milogii nu iti spun ca nu ai carte in masina,trebuie sa te duci peste ei si sa faci un pic scandal si se rezolva :D :-"
Vorba nashului meu: de la fiecare "om" inveti cate ceva.
Instalator sanitar,montez centrale termice,cazane pe lemne si carbune,aparate aer conditionat,panouri solare e.t.c.
http://forum.clubford.ro/viewtopic.php?f=17&t=38239
Avatar utilizator
DON GYOVANY
Member
 
Mesaje: 489
Membru din: 13 Feb 2009, 23:26
Localitate: CRAIOVA
Maşina: Ford Scorpio, 1986, 2.0i OHC-EFI, 85kw/115 cp & BMW 330xd,184 hp!
VIN: WF0AXXGAGAGU01536

Re: Masina de paine

Mesajde adicristea » 28 Mar 2011, 00:31

Pai eu nu am cum sa ma duc peste ei pentru ca sunt putin cam departe :). Iar daca am dat banii pe o treaba, indiferent ca am dat 50 sau 5000 de lei, ma astept sa aiba toate accesoriile. Ma pune pe mine sa ma plimb?!, rezolvam altfel. Sper sa nu fie cazul.
\\\ Cumpara "romaneste"! Salveaza-ti slujba! ///
Nu fi zmeu, s-ar putea sa zbori!
Nemulţumirile oamenilor nu vin din ceea ce li se întâmplă, ci din diferenţa dintre ceea ce li se întâmplă şi aşteptările lor. ™Ciugu®
Imagine
Avatar utilizator
adicristea
 
Mesaje: 6108
Membru din: 18 Ian 2008, 13:01
Localitate: Reading, UK
Maşina: Citroen C4 Picasso 1.6 eHDI
VIN: 00000000000000000

Re: Masina de paine

Mesajde bibi » 28 Mar 2011, 08:38

$1 scrie:$2ntrebare pt bibi si pt cei care au aceeasi masina ca noi: nu vine cu nici un fel de manual de instructiuni? Ca de abia azi a desfacut-o maica-mea si nu are nici o instructiune, ce fac butoanele alea, nimic. Noroc cu discutia de aici ca am putut sa-i dau niste sfaturi.

Salut. Scuze de intarziere, dar sunt in renovare cu baia.
In weekend o sa fac poze la cartea masinii si le pun aici.
Ford Focus Trend Style 1.6, 16V, 100CP, Hatch, MoonDust Silver, 2007
Avatar utilizator
bibi
Ford Freak
 
Mesaje: 200
Membru din: 21 Mai 2007, 12:29
Maşina: Ford Focus Trend Style 2007 Hatch 1.6 16V

Re: Masina de paine

Mesajde bibi » 28 Mar 2011, 08:51

$1 scrie:$2
$1 scrie:$2u vreau sa folosesc drojdie uscata pentru ca are un E. Nu mai tin minte ce E.
Deja sunt expert in drojdie umeda. Adica pot sa aproximez destul de ok cata imi trebuie.


Pai bine mai bibi,pai tu te mai uiti la un amarat de E,cand toate sunt pline de E.. :))
Si cartea recomanda drojdia uscata traditional,nu pe cea proaspata.


Salut. Eu ma uit si la un E pentru ca am o fetita de 11 luni si in curand o sa inceapa sa manance si painica.
Pentru ea am cumparat masina de paine. Din cate stiu drojdia umeda (vie) nu are E-uri. Se poate vedea asta si pentru ca are un termen de expirare scurt.
Ford Focus Trend Style 1.6, 16V, 100CP, Hatch, MoonDust Silver, 2007
Avatar utilizator
bibi
Ford Freak
 
Mesaje: 200
Membru din: 21 Mai 2007, 12:29
Maşina: Ford Focus Trend Style 2007 Hatch 1.6 16V

Re: Masina de paine

Mesajde DON GYOVANY » 28 Mar 2011, 09:07

Sa iti traiasca printesa,sa fie sanatoasa =D> .Nu stiam faza cu drojdia proaspata :D dar daca am vazut ca cei din carte nu o recomanda...oricum mersi de informatie :)

Nene adi daca erai din Craiova ma duceam eu peste ei,ca am "experienta" acum :D
Vorba nashului meu: de la fiecare "om" inveti cate ceva.
Instalator sanitar,montez centrale termice,cazane pe lemne si carbune,aparate aer conditionat,panouri solare e.t.c.
http://forum.clubford.ro/viewtopic.php?f=17&t=38239
Avatar utilizator
DON GYOVANY
Member
 
Mesaje: 489
Membru din: 13 Feb 2009, 23:26
Localitate: CRAIOVA
Maşina: Ford Scorpio, 1986, 2.0i OHC-EFI, 85kw/115 cp & BMW 330xd,184 hp!
VIN: WF0AXXGAGAGU01536

Re: Masina de paine

Mesajde bibi » 28 Mar 2011, 09:36

Vezi ca la drojdia umeda sunt alte gramaje fata de cea uscata.
De exemplu la o reteta care recomanda 3.5g de drojdie uscata, eu am pus 7g de drojdie umeda. Nu stiu ce aparat ai, dar sigur ratia uscata / umeda difera de la aparat la aparat.
Ford Focus Trend Style 1.6, 16V, 100CP, Hatch, MoonDust Silver, 2007
Avatar utilizator
bibi
Ford Freak
 
Mesaje: 200
Membru din: 21 Mai 2007, 12:29
Maşina: Ford Focus Trend Style 2007 Hatch 1.6 16V

Re: Masina de paine

Mesajde bibi » 28 Mar 2011, 09:43

O reteta personala , dezvoltata pornind de la videoclipul bucatarului Gelu de pe youtube.
1 lingurita este lingurita aceea mica de plastic cu care vine aparatul.
Aparatul meu este : Westwood JC-M201A

Pas 1:
1 ou
310 ml de lapte
1 lingurita de zahar
2.5 lingurite de sare
1 lingura de ulei - eu folosesc ulei de masline
Pas 2:
250 g faina de 650
300 g faina neagra
Pas 3:
13g de drojdie umeda(eu folosesc Pakmaya)



Se pune la programul 1 , cu coacere maxima , la nivelul 3, deci programul v-a dura 2.50h.
Dupa aceea o mai pun si la programul 12 , acela de coacere inca 30-40 minute. Depinde de timpul pe care il am.

Funtioneaza de fiecare data si iese perfecta. Nu se faramiteaza deloc cand o tai.
Ford Focus Trend Style 1.6, 16V, 100CP, Hatch, MoonDust Silver, 2007
Avatar utilizator
bibi
Ford Freak
 
Mesaje: 200
Membru din: 21 Mai 2007, 12:29
Maşina: Ford Focus Trend Style 2007 Hatch 1.6 16V

Re: Masina de paine

Mesajde bibi » 28 Mar 2011, 10:11

O mica rectificare.
Am scris 200 g faina neagra. De fapt sunt 300 g.

KomandantuR edit: Am modificat eu mai sus, in caz ca cineva ia reteta cu copy/paste.
Ford Focus Trend Style 1.6, 16V, 100CP, Hatch, MoonDust Silver, 2007
Avatar utilizator
bibi
Ford Freak
 
Mesaje: 200
Membru din: 21 Mai 2007, 12:29
Maşina: Ford Focus Trend Style 2007 Hatch 1.6 16V

Re: Masina de paine

Mesajde adicristea » 28 Mar 2011, 11:44

Am rezolvat, mi l-au trimis pe email, le-am zis ca nu il pot scoate si au zis ca mi-l printeaza in ce magazin vreau eu. Cum cel din Eroii Revolutiei e in drumul maica-mii, il ridica de acolo. Au fost chiar ok, nu am avut de ce sa ma enervez, se mai intampla.
\\\ Cumpara "romaneste"! Salveaza-ti slujba! ///
Nu fi zmeu, s-ar putea sa zbori!
Nemulţumirile oamenilor nu vin din ceea ce li se întâmplă, ci din diferenţa dintre ceea ce li se întâmplă şi aşteptările lor. ™Ciugu®
Imagine
Avatar utilizator
adicristea
 
Mesaje: 6108
Membru din: 18 Ian 2008, 13:01
Localitate: Reading, UK
Maşina: Citroen C4 Picasso 1.6 eHDI
VIN: 00000000000000000

Anterior

Înapoi la Discutii libere/forum

Cine este conectat

Utilizatorii ce navighează pe acest forum: Niciun utilizator înregistrat şi 5 vizitatori

Cine este conectat

În total sunt 5 utilizatori conectaţi :: 0 înregistraţi, 0 invizibili şi 5 vizitatori (date care se bazează pe utilizatorii activi în ultimele 5 minute)
Cei mai mulţi utilizatori conectaţi au fost 9746 pe 02 Mar 2026, 11:01

Utilizatorii ce navighează pe acest forum: Niciun utilizator înregistrat şi 5 vizitatori

Zile de naştere

Nicio zi de naştere astăzi

Site Login